Click here to close Hello! We notice that you are using Internet Explorer, which is not supported by Xenbase and may cause the site to display incorrectly. We suggest using a current version of Chrome, FireFox, or Safari.
XB-ART-50998
PLoS One 2015 Jul 16;107:e0133963. doi: 10.1371/journal.pone.0133963.
Show Gene links Show Anatomy links

Inbreeding Ratio and Genetic Relationships among Strains of the Western Clawed Frog, Xenopus tropicalis.

Igawa T, Watanabe A, Suzuki A, Kashiwagi A, Kashiwagi K, Noble A, Guille M, Simpson DE, Horb ME, Fujii T, Sumida M.


???displayArticle.abstract???
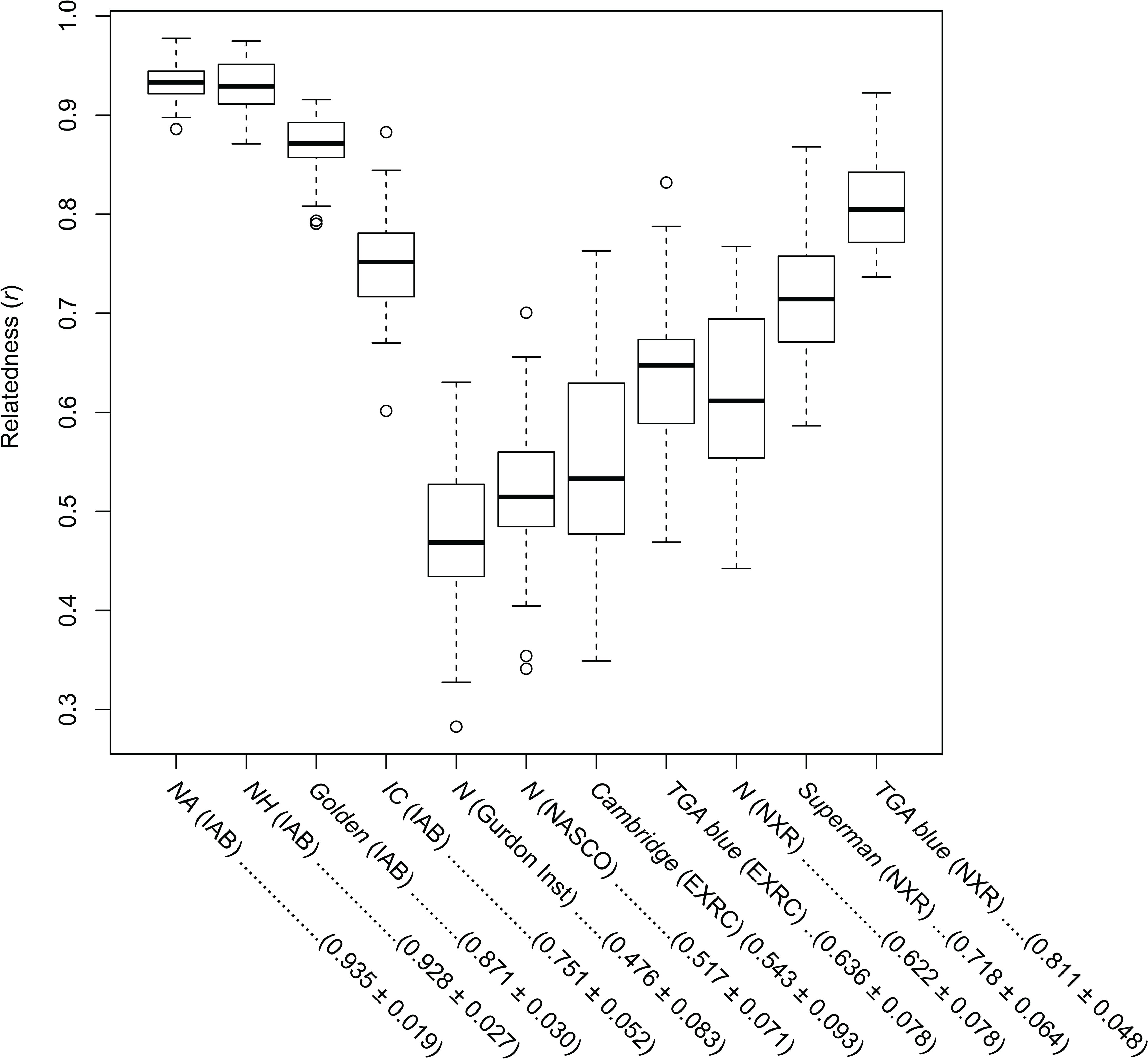
The Western clawed frog, Xenopus tropicalis, is a highly promising model amphibian, especially in developmental and physiological research, and as a tool for understanding disease. It was originally found in the West African rainforest belt, and was introduced to the research community in the 1990s. The major strains thus far known include the Nigerian and Ivory Coast strains. However, due to its short history as an experimental animal, the genetic relationship among the various strains has not yet been clarified, and establishment of inbred strains has not yet been achieved. Since 2003 the Institute for Amphibian Biology (IAB), Hiroshima University has maintained stocks of multiple X. tropicalis strains and conducted consecutive breeding as part of the National BioResource Project. In the present study we investigated the inbreeding ratio and genetic relationship of four inbred strains at IAB, as well as stocks from other institutions, using highly polymorphic microsatellite markers and mitochondrial haplotypes. Our results show successive reduction of heterozygosity in the genome of the IAB inbred strains. The Ivory Coast strains clearly differed from the Nigerian strains genetically, and three subgroups were identified within both the Nigerian and Ivory Coast strains. It is noteworthy that the Ivory Coast strains have an evolutionary divergent genetic background. Our results serve as a guide for the most effective use of X. tropicalis strains, and the long-term maintenance of multiple strains will contribute to further research efforts.

???displayArticle.pubmedLink??? 26222540
???displayArticle.pmcLink??? PMC4519292
???displayArticle.link??? PLoS One
???displayArticle.grants??? [+]

Species referenced: Xenopus tropicalis
Genes referenced: ercc6 mbp
Lines/Strains:

???attribute.lit??? ???displayArticles.show???
References [+] :
Blitz, Biallelic genome modification in F(0) Xenopus tropicalis embryos using the CRISPR/Cas system. 2013, Pubmed, Xenbase