|
Fig. 1. Characterization of wdr5 expression. (A) Analysis of previously published RNA-Seq data (York et al., 2024) shows wdr5 transcripts are abundant in the animal pole cells of the blastula stages and differentially enriched in neural crest-induced animal caps at early and late neurula stages (*P<0.05). (B) Spatial and temporal expression of wdr5 shows that wdr5 transcripts are maternally provided, enriched in blastula stem cells and retained broadly throughout the neuroectoderm into developing neural crest stem cells and neural crest derivatives. (C) Fluorescent in situ hybridization chain reaction confirms wdr5 expression in the neural crest that colocalizes with myc a canonical neural crest and pluripotency factor. CTRL, control; NC, neural crest; TPM, transcripts per million. Scale bars: 250[micrometers] in B and C (10 images); 100[micrometers] in C (4 images). |
|
Fig. 2. Morpholino-mediated knockdown shows that wdr5 is required for NC gene expression. (A) Morpholino-mediated depletion of wdr5 inhibits neural crest factor expression. (B) Expression of wdr5 mRNA rescues morpholino-mediated neural crest gene expression. (C) Quantification of rescue percentage for the experiment shown in B. (D) Morpholino-mediated depletion of wdr5 prevents pluripotent blastula cells from being reprogrammed to neural crest state. (E) Morpholino-mediated depletion of wdr5 does not inhibit expression of NPB and neural plate factors. (F) Knockdown of wdr5 leads to an expansion of the neural plate factor sox3 and loss of myc expression at neurula stages. Asterisks indicate the injected side of the embryo. Scale bars: 250[micrometers]. Abbreviations [[MO = morpholino]] |
|
Fig. 3. Overexpression of wdr5 exhibits concentration-dependent effects on neural crest factor expression. (A) Exogenous wdr5 mRNA shows concentration-dependent effects on neural crest gene expression. (B) Increased wdr5 expression expands NPB gene expression independently of mRNA concentration. (C) Exogenous wdr5 mRNA exhibits expanded expression of myc expression and inhibition of six1 expression. (D) Increased wdr5 expression inhibits expression of epidermal keratin factor (krt12.4) and expansion of the neural plate factor sox3 independently of mRNA concentration. Asterisks indicate the injected side of the embryo. Scale bars: 250[micrometers]. |
|
Fig. 4. Myc and Wdr5 interact directly to facilitate neural crest factor expression. (A) Wdr5 and Myc directly interact at chromatin to influence downstream gene expression of Myc target genes. (B) Western blot of Co-IP shows that FLAG-tagged Wdr5 (wdr5-nFT) and Myc-tagged Myc (myc-nMT) directly interact in Xenopus embryos. (C) myc mRNA overexpression inhibits neural crest and NPB gene expression. (D) Co- expression of wdr5 mRNA and myc mRNA facilitates neural crest gene expression. (E) myc expression is required for Wdr5-mediated neural crest expansion. (F) myc mRNA inhibits neural crest and NPB gene expression when wdr5 expression is downregulated. Asterisks indicate the injected side of the embryo. Scale bars: 250[micrometers]. |
|
Fig. 5. Mutations in conserved binding sites on Wdr5 differentially affect neural crest gene expression. (A) Wdr5 function is primarily mediated through two conserved and distinct binding sites, the Wdr5 binding motif (WBM) and the Wdr5 interacting domain (WIN), both of which can be disrupted by point mutations. (B) Western blot showcasing disruption of binding of Myc to Wdr5-WBMV268 and Wdr5-WBMN225A,L240K,V268E in Xenopus embryos. (C) Western blot showcasing disruption of binding of Hdac1 to Wdr5-WINF133A in Xenopus embryos. (D) wdr5-WBMV268 leads to an expansion of neural crest gene expression when expressed at levels that lead to loss of neural crest gene expression in wdr5 and wdr5-WINF133A embryos. Overexpression of wdr5 and all resultant mutants expand NPB factor expression. (E) wdr5 mutant overexpression differentially affects myc expression compared to wild-type wdr5. Asterisks indicate the injected side of the embryo. Scale bars: 250[micrometers]. |
|
Fig. 6. Both Wdr5 binding sites are required for the expression of neural crest genes. (A) wdr5-WBMV268E overexpression fails to rescue neural crest expression in the absence of endogenous wdr5 expression. (B) wdr5-WINF133A overexpression fails to rescue neural crest expression in the absence of endogenous wdr5 expression. Asterisks indicate the injected side of the embryo. Scale bars: 250[micrometers]. |
|
Fig. 7. Myc downregulation expands neural crest expression via a Wdr5-mediated mechanism. (A) Lower concentrations of myc MO expand neural crest factor expression. (B) wdr5 is required for myc MO-mediated expansion of neural crest gene expression. (C) Model depicting Wdr5- and Myc-mediated regulation of the neural crest: normal neural crest (NC) formation (top), loss of NC and prolonged neural plate (NP) and NPB (middle), loss of NC and prolonged Myc expression (bottom). Asterisks indicate the injected side of the embryo. Scale bars: 250[micrometers]. Abbreviations [[NC = Neural Crest; NP = Neural Plate; NPB = Neural Plate Border]] |
|
Fig. 7. Myc downregulation expands neural crest expression via wdr5 mediated mechanism. (A) Lower concentrations of myc morpholino expand neural crest factor expression. (B) wdr5 is required for myc-morpholino mediated expansion of
neural crest gene expression. Asterisks indicate the injected side of the embryo. Scale bars: 250[micrometers]. Abbreviations [[NC = Neural Crest; NP = Neural Plate; NPB = Neural Plate Border]] |
|
Fig. 7. Myc downregulation expands neural crest expression via a Wdr5-mediated mechanism. (C) Model depicting Wdr5- and Myc-mediated regulation of the neural crest: normal NC formation (top), loss of NC and prolonged NP and NPB (middle), loss of NC and prolonged Myc expression (bottom). Abbreviations [[NC = Neural Crest; NP = Neural
Plate; NPB = Neural Plate Border]] |
|
Fig. S1. (A) Percentage bar graph representing whole embryo phenotype counts for wdr5 MO injected
embryos. (B) Percentage bar graph representing phenotype counts for wdr5 MO in-jected neural crest
explants. (C) Percentage bar graph representing phenotype counts for wdr5 MO and wdr5 MO + wdr5
mRNA injected embryos. (D) Western blot depicting specificity of wdr5 morpholi-no. (E) Western blot
depicting expression of n-terminally FLAG-tagged wdr5 persists in the absence or presence of wdr5
morpholino. (F) Western blot of global levels of H3K4me3 compared to total H3 in control vs neural
crest caps, with and without wdr5 morpholino. (G) Quantification of global levels of H3K4me3 compared
to total H3 in control vs neural crest caps, with and without wdr5 morpholino. (Av-erage of 3 replicates.
n.s., p>0.05). Abbreviations [[MO = morpholino]]. |
|
Fig. S2. (A) Percentage bar graph representing whole embryo phenotype counts for wdr5 nFT injected embryos (low vs high dose). (B) Western blot and quantification of difference in low vs high concentrations of wdr5-nFT mRNA. |
|
Fig. S3. (A) Percentage bar graph representing whole embryo phenotype counts for myc-nMT injected embryos. (B) Percentage bar graph representing whole embryo phenotype counts for myc nMT, wdr5 nFT, and myc+wdr5 injected embryos. (C) Percentage bar graph representing whole embryo phenotype counts for wdr5
nFT, myc MO, and wdr5 nFT+myc MO injected embryos. (D) Percentage bar graph representing whole embryo phenotype counts for myc nMT, wdr5 MO, and myc nMT+wdr5 MO injected embryos. (E) Western blot depitcing equivalent expression of wdr5-FLAG and myc-Myc in single and co-injection conditions. (F) Western blot depicting persistence of wdr5-FLAG expression in the presence and absence of myc morpholino. (G) Western blot depicting persistence of myc-MYC expression in the presence and absence of wdr5 morpholino. (H) High levels of wdr5 do not require myc expression to inhibit neural crest gene expression. |
|
Fig. S4. (A) Percentage bar graph representing whole embryo phenotype counts for wdr5, wdr5-WBMV268, and wdr5-WINF133A injected embryos. (B) Western blot showing equivalent expres-sion of wdr5-WT, wdr5- WBMV268E, wdr5-WINF133A FLAG tag. (C) Co-IP binding analysis of myc+wdr5, wdr5-WBMV268, wdr5-WBMN225A,L240K,V268E, or wdr5-WINF133A pulldown abundance. (D) Co-IP binding analy-sis of myc+wdr5, wdr5-WBMV268, wdr5-WBMN225A,L240K,V268E, or wdr5-WINF133A pulldown abundance. (E) Quantification of Co-IP binding analysis of myc+wdr5, wdr5-WBMV268, wdr5-WBMN225A,L240K,V268E, or
wdr5-WINF133A pulldown abundance(Average of 3 replicates). (F) Quantification of Co-IP binding analysis of hdac1+wdr5, wdr5-WBMV268, or wdr5-WINF133A pulldown abundance (Average of 3
replicates). |
|
Fig. S5. (A) Percentage bar graph representing whole embryo phenotype counts for wdr5 MO, wdr5 nFT,
wdr5-WBMV268E nFT, wdr5 MO+wdr5 nFT, and wdr5 MO+wdr5-WBMV268E injected embryos. (B) Percentage bar graph representing whole embryo phenotype counts for wdr5 MO, wdr5 nFT, wdr5-WINF133A nFT, wdr5 MO+wdr5 nFT, and wdr5 MO+wdr5-WINF133A inject-ed embryos. (C) Western blot showing equivalent expression of wdr5-WT and wdr5-WBMV268E in the absence of endogenous wdr5 expression. (D) Western blot showing equivalent expression of wdr5-WT and wdr5-WINF133A in the absence of endogenous wdr5 expression. Abbreviations [[ MO = morpholino ]]. |
|
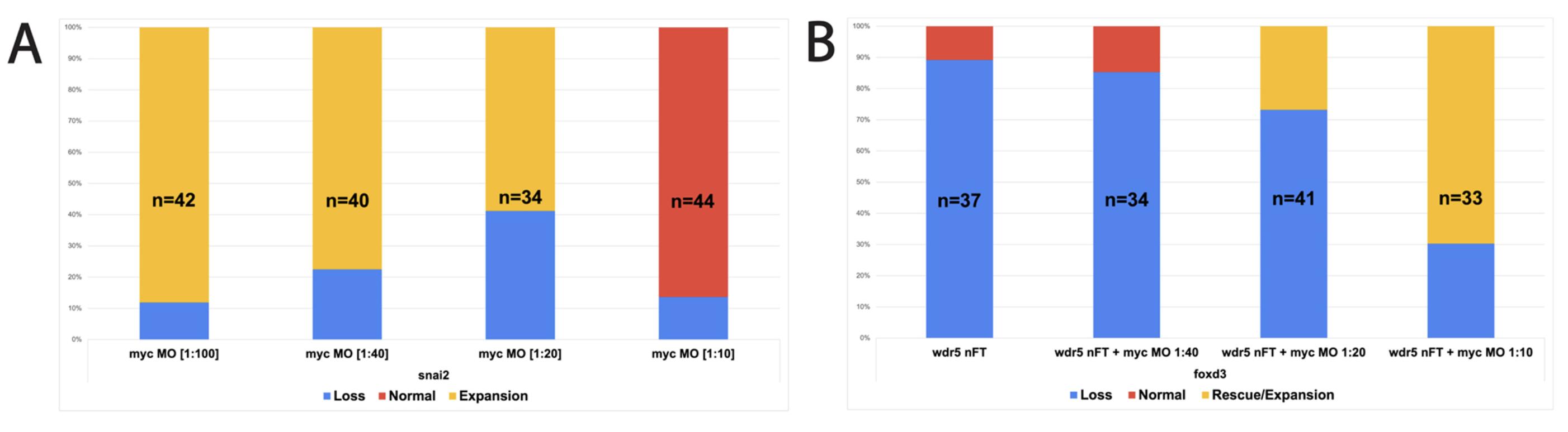
Fig. S6. (A) Percentage bar graph representing whole embryo phenotype counts for myc MO injected embryos at varying concentrations. (B) Percentage bar graph representing whole embryo phenotype counts for embryos injected with either wdr5 nFT, wdr5 nFT+myc MO at varying concentrations. Abbreviations [[ MO = morpholino ]]. |
|
wdr5 (WD repeat domain 5) gene expression in Xenopus laevis embryo, NF stage 6, assayed via in situ hybridization. |
|
wdr5 (WD repeat domain 5) gene expression in X. laevis embryo, NF stage 9, assayed via in situ hybridization. |
|
wdr5 (WD repeat domain 5) gene expression in X. laevis embryo, NF stage 11, assayed via in situ hybridization. |
|
wdr5 (WD repeat domain 5) gene expression in X. laevis embryo, NF stage 13, assayed via in situ hybridization, anterior view, dorsal up. |
|
wdr5 (WD repeat domain 5) gene expression in X. laevis embryo, NF stage 15, assayed via in situ hybridization, anterior view, dorsal up. |
|
wdr5 (WD repeat domain 5) gene expression in X. laevis embryo, NF stage 17, assayed via in situ hybridization, anterior view, dorsal up. |
|
wdr5 (WD repeat domain 5) gene expression in X. laevis embryo, NF stage 29/30, assayed via in situ hybridization, lateral view, anterior right, dorsal up. |